一種用於微機繼電保護的實用算法|91看片视频APP下载電力
發布時間:2017-05-17 09:00:00
瀏覽次數:2511
91看片视频APP下载電力是一家專業研發生產微機繼電保護測試儀的廠家,本公司生產的微機繼電保護測試儀設備在行業內都廣受好評,以打造最具權威的“微機繼電保護測試儀“高壓設備供應商而努力。

距離保護、差動保護、過流保護等保護原理,多 數是利用電流、電壓輸入量中的基頻分量(即工頻分 量)來進行計算。在發生故障時,電流和電壓輸入量 中除了基頻分量外,還有很多諧波分量,如衰減的直 流分量、高次諧波等。因此,為滿足保護原理的要 求,必須采用某一濾波算法濾出基頻分量。傳統的 傅裏葉濾波算法是檢測到故障後,等待輸入信號的 采樣點達到濾波算法的數據窗長,再開始相量計算。 而係統發生故障後,為確保係統安全、穩定運行,要 求保護盡快正確動作,切除故障。為實現這一目的, 在保證一定精度的前提下,可通過縮短數據窗的方 法降低保護濾波算法所需的固有時間。 本文基於文獻[1]中的兩個濾波函數,提出一種 實用的濾波算法。在保證一定的計算精度下,檢測 到故障後,以1/4周期為數據窗長快速地進行相量 計算(這裏稱為1/4窗相量)。該算法不僅能夠用於 故障後一周期內的快速相量計算,而且在故障一周 期後,1/4窗相量可以通過合並計算得到整窗相量 (即數據窗長為一周期),計算結果與在相同條件下 利用全周期傅裏葉算法得到的計算結果相同。
濾波函數的選取及其頻率響應
在檢測到電力係統發生故障後,如果保護裝置中采用的濾波算法為固定數據窗長,那麽在故障後時間未達到該數據窗長時,數據窗內既包含故障後 的采樣點,也包含故障前的采樣點。這樣,就會使得 收稿日期:2004 01—16;修回日期:2004—08—16。 相量計算的結果不能真實地反映故障後的電氣量, 將該結果用於保護實現時,可能會造成保護的誤動 或拒動,例如用於距離保護原理中的阻抗計算時,很 可能會造成超越的情況。因此,在實際工程應用中, 通常是檢測到輸入信號出現擾動後開始等待,直至 達到計算所需的數據窗長,才開始進行相量計算。 這就決定了保護動作時問必定會大於該數據窗長。 為了提高保護對故障的反應速度,縮短數據窗長是 一可行的措施,而選取一種性能良好的濾波函數無 疑對實現短窗濾波算法是很重要的一步。
濾波函數的選取
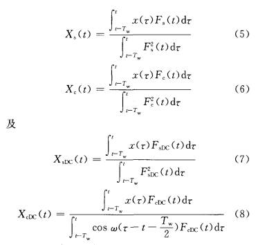
本文基於文獻的討論,選取與數據窗長有關 的三角函數作為濾波函數。 設輸入信號為z(f),所用的數據窗長為Tw,則 在t時刻,若不考慮衰減的直流分量的影響時,分別 用於計算輸入信號相量的實部、虛部的濾波函數的 係數為:

相應地,為使在數據窗內相量計算結果的均方 差最小,對應的濾波函數為:

顯然,在所用數據窗內,X。(x。Dc)和X。(X。Dc) 構成一對正交濾波器(在下麵的分析中亦可得到該 結論)。於是,輸入信號相量的幅值為:

相關產品鏈接:http://www.agfq.net/300/