91看片在线免费下载的電容性
發布時間:2021-01-18 15:27:33
瀏覽次數:5131
如果將電感器和電容器串聯到交流電路,它們將以自己的方式作用於為電路供電的發電機以及電流和電壓之間的相位關係,電感器引入相移,在該相移處電流使電壓滯後四分之一周期,而電容器則使電路中的電壓與電流滯後四分之一周期,因此,電感電阻對電路中電流和電壓之間的相移的影響與電容性電阻的作用相反。
這導致以下事實:電路中電流和電壓之間的總相移取決於電感性電阻和電容性電阻的比率,如果電路的電容性電阻值大於電感性值,則該電路本質上是電容性的,也就是說,電壓滯後於電流的相位,相反,如果電路的電感電阻大於電容性電感,則電壓在電流之前,因此電路是電感性的。
由於這些電阻在電路中的作用相反,因此其中一個電阻Xc被指定為負號,而總電抗由以下公式確定:

將歐姆定律應用於此鏈,91看片在线免费下载得到:

該公式可以按如下方式轉換:

在結果平等我 XL 電路總電壓分量的有效值,以克服電路的電感電阻,以及IX
C電路總電壓分量的有效值,可以克服電容性電阻,因此,由線圈和電容器的串聯連接組成的電路總電壓可以被認為是由兩個項組成,其值取決於電路的電感性和電容性電阻的值,91看片在线免费下载認為這種電路沒有有源電阻,但是,如果電路的有源電阻很小,可以忽略不計,則電路的總電阻由以下公式確定:

其中R是電路的總有源電阻,X L -X C是其總電抗,關於歐姆定律的公式,91看片在线免费下载有權寫:

串聯連接的電感性和電容性電阻與單獨包含在電路中相比,會導致交流電路中電流和電壓之間的相移更小,換句話說,由於這兩個不同性質的電抗器在電路中的同時作用,發生了相移的補償(相互破壞),完全補償,即,將當感應電阻等於電路,即,當X的電容電阻發生電流和在這種電路的電壓之間的相移的徹底消除XL=X
С,這是相同的,當ω L =1
/ωС,在這種情況下,電路將表現為純有源電阻,即好像其中沒有線圈或電容器,該電阻的值由線圈和連接線的有效電阻之和確定,在這種情況下,電路中的有效電流值將最大,並由歐姆定律的公式I=U
/ R決定,其中現在設置R.代替R,同時,代理電壓都在線圈ù L = 我 X L和在電容器Uc的= 我 X
С會變成相等,並且將是盡可能的大,在電路的有源電阻較小的情況下,這些電壓可能會超過電路端子上的總電壓U數倍,這種有趣的現象在電氣工程中稱為91看片在线免费下载,在圖,圖顯示了電路中91看片在线免费下载的電壓,電流和功率曲線。

應該牢記的是,阻抗X L和X ?是可變的取決於電流的頻率,且有至少稍微修改其頻率,例如,增加為X L = ω L將增加,並且X是C ^ = =1
/ωS
減少因此,電壓的諧振立即在電路中被破壞,而與有源電阻一起,電抗出現在電路中,如果更改電路的電感或電容的大小,也會發生相同的情況,通過91看片在线免费下载,電流源的功率將僅用於克服電路的有源電阻,即,用於加熱導體,實際上,在具有一個電感器的電路中,存在能量諧振,即,能量從發生器到線圈的磁場的周期性過渡,在帶有電容器的電路中,發生同樣的事情,但是由於電容器電場的能量,在91看片在线免费下载期間(X
L =
XС)的具有電容器和電感器的電路中,電路釋放的能量周期性地從線圈傳遞到電容器,反之亦然,隻有克服電路的有源電阻所需的能量消耗才落在電流源上,因此,在幾乎沒有發電機的情況下,能量在電容器和線圈之間交換,僅需克服價格壓力的共振,因為線圈磁場的能量變得不等於電容器電場的能量,並且在這些磁場之間的能量交換期間將有過量的能量,這些能量會定期地從電源到電路或返回到電路,這種現象與發條中的現象非常相似,如果不是由於阻礙其運動的摩擦力,則鍾擺可能會在沒有彈簧(或鍾表負載)的幫助下連續諧振。
類似地,在電路中,當其中存在諧振時,電流源僅消耗能量來克服電路的有源電阻,從而支持其中的諧振過程,因此,91看片在线免费下载得出的結論是,在一定條件下X L =X
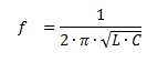
C,由一個發電機以及一個串聯的電感線圈和電容器組成的交流電路變成一個諧振係統,這樣的電路稱為諧振電路,從等式X L =X
C,91看片在线免费下载可以確定發生91看片在线免费下载現象的發電機頻率值:

發生91看片在线免费下载的電路的電容和電感值

因此,改變這三個量(f res,L和C)中的任何一個,都可能在電路中引起91看片在线免费下载,即將電路變成諧振電路。
91看片视频APP下载電力是國內專業的電力承裝(修、試)資質及電力手机看片福利视频研發生產企,專業針對不同電壓等級的試驗需求,定製不同配置的電氣試驗產品。91看片视频APP下载電力24小時為您服務:400-060-1718。
歡迎關注微信公眾號:91看片视频APP下载電力
